Ruimte gereserveerd voor reclame

Formules, Structuren en Projecties

Er zijn verschillende manieren om moleculen te representeren en wat de beste manier is hangt af van de situatie. In dit artikel bespreken we kort de meestgebruikte vormen.


Molecuulformule

De eenvoudigste representatie van een molecuul is de zogenaamde molecuulformule. Dit is simpelweg een lijst van alle chemische symbolen en hun aantallen. Water is bijvoorbeeld H2O (twee waterstoffen en één zuurstof), methaan is CH4 (één koolstof en vier waterstoffen) en (S)-alanine is C3H7NO2 (drie koolstoffen, zeven waterstoffen, één stikstof en twee zuurstoffen). Typisch bij molecuulformules is dat de symbolen voor koolstof en waterstof vooraan gezet worden, gevolgd door de rest op alfabetische volgorde.


Een nadeel van molecuulformules is dat deze niets zeggen over de 3D-structuur van het molecuul.


Lewisformule

Een lewisformule (ook wel lewisstructuur) weergeeft elk atoom, elke binding, elk vrij elektronenpaar en hun posities ten opzichte van elkaar in het zogenaamde atoomskelet. Bindingen worden aangegeven met lijnen waarbij voor dubbele en driedubbele bindingen twee respectievelijk drie lijnen gebruikt worden. Elektronenparen worden aangegeven als stippen. Zie hieronder bijvoorbeeld de lewisformule van water, waarbij de waterstofatomen verbonden zijn met het centrale zuurstofatoom via enkelvoudige bindingen. Het centrale zuurstofatoom heeft twee vrije elektronenparen.


Lewisformule van water, oftewel H2O. Afbeelding van Wikipedia.


Let er op dat alle atomen in de Lewisstructuur voldoen aan de octetregel. Deze stelt dat elk atoom omgeven moet zijn door acht valentie-elektronen (zie eerdere les), met uitzondering van waterstof die er twee wil. Dit kun je eenvoudig controleren door het aantal vrije elektronen en het aantal gedeelde elektronen bij elkaar op te tellen. In het voorbeeld van water heeft zuurstof vier vrije elektronen (twee paren) en vier gedeelde elektronen (twee enkelvoudige bindingen), acht in totaal.


Formele lading

Zodra alle atomen en bindingen op hun plek staan is de volgende stap het bepalen van de formele lading van elk atoom in de structuur. De formele lading van een atoom is het verschil tussen het aantal valentie-elektronen van het ongebonden atoom en het aantal gebonden elektronen. Als formule:


Formele lading = Valentie elektronen - (losse elektronen + ½ × gebonden elektronen)


Lewisformule van oxonium (geprotoneerd water), oftewel H3O+. Afbeelding van Wikipedia.


We berekenen de formele lading van het centraal zuurstofatoom in oxonium. Let op dat in bovenstaande afbeelding de enkelvoudige bindingen tussen zuurstof en waterstof allemaal net iets anders getekend zijn om de 3-dimensionale structuur van het molecuul aan te geven.

  1. Ongebonden zuurstof heeft zes valentie elektronen
  2. Het zuurstofatoom heeft één vrij elektronenpaar (twee elektronen)
  3. Het zuurstofatoom heeft drie enkelvoudige bindingen (zes gedeelde elektronen)
  4. De formele lading = 6 - (2 + ½ × 6) = +1 (zie eerdere formule)


Kekuléstructuur

Een kekuléstructuur (genoemd naar de chemicus Friedrich Kekulé) is een versimpelde variant van de lewisstructuur waarbij elektronenparen zo veel mogelijk weggelaten worden.


Oorspronkelijke tekening van de structuur van benzeen door Kekulé. Afbeelding van Wikipedia.


Skeletformule

De skeletformule (ook wel lijn-hoekformule genoemd) is een verder versimpelde weergave een molecuulstructuur die veel gebruikt wordt in de organische chemie. In een skeletformule worden aaneengesloten ketens van koolstofatomen gereduceerd tot een lijn met hoeken waarbij elke hoek een koolstofatoom voorstelt. Waterstoffen en elektronenparen worden weggelaten tenzij ze een speciale groep of situatie weergeven.


Skeletformule van (S)-citalopram. Afbeelding van Wikipedia.


Gecondenseerde structuur

Een gecondenseerde structuur is een sterk versimpelde weergave van een molecuul waarbij zowel elektronenparen als enkele bindingen worden weggelaten en alle atomen simpelweg in volgorde van de koolstofketen worden opgelijst. Atomen anders dan koolstof worden opgeschreven naast het koolstofatoom waar ze aan gebonden zijn. Hexaan wordt bijvoorbeeld CH3CH2CH2CH2CH2CH3 en 2-broom-5-chloorhexaan wordt CH3CHBrCH2CH2CHClCH3.


Projecties

Soms is het nodig om een molecuul vanuit een specifiek perspectief te bekijken om bepaalde chemische eigenschappen uit te leggen. Als laatst bespreken we kort drie veelgebruikte projecties.


Newmanprojectie

Een newmanprojectie is een een manier om de ruimtelijke structuur van een molecuul te verduidelijken. Dit wordt gedaan door loodrecht te kijken op één enkelvoudige binding waarbij het achterste atoom gerepresenteerd wordt als een cirkel. Aangezien enkelvoudige bindingen draaibaar zijn is dit een manier om de mogelijke conformaties op te helderen. Wanneer de groepen op één lijn staan noemt men dit geëclipseerd, wanneer ze maximaal van elkaar af staan noemt men dit geschrankt. Over het algemeen proberen de zijgroepen elkaar zo min mogelijk in de weg te zitten.


Een newmanprojectie van butaan. Links is geëclipseerd en rechts is geschrankt. Afbeelding van Wikipedia.


Fischerprojectie

Een fischerprojectie wordt gebruikt om moleculen met veel chirale centra, zoals suikers of aminozuren, weer te geven zonder de ruimtelijke ligging van elke verbinding expliciet aan te hoeven geven. In een fischerprojectie geven verticale lijnen bindingen aan die achter het vlak liggen en horizontale lijnen bindingen die voor het vlak liggen. Meer over chiraliteit in latere lessen.


Schematische weergave voor het maken van een fischerprojectie. Afbeelding van Wikipedia.


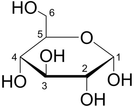
Haworthprojectie

Een haworthprojectie wordt gebruikt om de ruimtelijke structuur van cyclische enkelvoudige suikers weer te geven. De dikkere lijn wordt gebruikt om aan te geven dat dit deel van het molecuul dichter bij de waarnemer staat. Elk koolstofatoom (allemaal genummerd in de afbeelding) is ook verbonden aan een waterstofatoom welke in tegengestelde richting van de OH-groep staat, maar deze worden vaak weggelaten.


Een haworthprojectie van α-D-glucopyranose. Afbeelding van Wikipedia.


In het kort

Wat is een skeletformule?

Een skeletformule (of hoek-lijnformule) is een versimpelde representatie van moleculen waarbij koolstofketens gereduceerd worden tot een lijn waarbij elke hoek een koolstofatoom representeerd. Het is een representatie die veel gebruikt wordt in de organische chemie.

Meer informatie
Wat is het verschil tussen Lewisformules, Kekuléstructuren en skeletformules?

Een lewisformule is een representatie van een molecuul waarbij vrijwel alle elementen getekend zijn (atomen, bindingen en elektronenparen). Een kekuléstructuur versimpelt deze weergave door elektronenparen weg te laten. Een skeletformule versimpelt deze weergave nog verder door koolstofketens te versimpelen en waterstoffen zo veel mogelijk weg te laten.

Meer informatie
Hoe bereken je de formele lading?

De formele lading van een atoom wordt berekend door het aantal vrije elektronenparen en de helft van het aantal gedeelde elektronen af te trekken van het aantal valentie-elektronen van het ongebonden atoom. Dus formele lading = valentie-elektronen - (vrije elektronen + ½×gedeelde elektronen).

Meer informatie
Wat is een gecondenseerde formule?

Een gecondenseerde formule is een manier om organische moleculen te representeren in één regel tekst. Bijvoorbeeld butaan wordt gerepresenteerd als CH₃CH₂CH₂CH₃.

Meer informatie
Wanneer gebruik je een newmanprojectie?

Newmanprojecties worden gebruikt om de ruimtelijke ordening rondom één specifieke enkelvoudige binding te verduidelijken. Wanneer de groepen op één lijn staan noemt men dit "geëclipseerd," wanneer ze zo ver mogelijk uit elkaar staan noemt men dit "geschrankt."

Meer informatie
Waarvoor wordt een fischerprojectie gebruikt?

Een fischerprojectie wordt gebruikt om een molecuul met veel chirale centra weer te geven zonder de ruimtelijke positionering van elke binding specifiek te hoeven tekenen.

Meer informatie
Waarvoor wordt een haworthprojectie gebruikt?

Een haworthprojectie wordt gebruikt om de driedimensionale structuur van cyclische monosacchariden weer te geven.

Meer informatie
Wat is de regel voor de tekenrichting in een fischerprojectie?

Bindingen die verticaal getekend worden in een fischerprojectie liggen achter het vlak en bindingen die horizontaal getekend worden liggen voor het vlak.

Meer informatie